An enquiring mind (Level B2 -ESB Class)
Fun Science Quiz

Planets:
Mars

Mercury

Jupiter

Animals:
Relative

Maths:
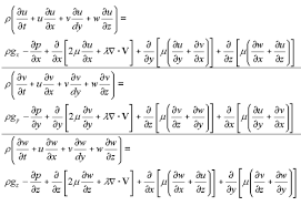
Equation

Science:
Carry out scientific experiments

An enquiring mind

Planets:
Mars
Mercury
Jupiter
Animals:
Relative
Maths:
Equation
Science:
Carry out scientific experiments
An enquiring mind
Comments